产品展示
联系我们
销售热线:0632-5113088
外贸电话:0632-5113066
公司传真:0632-5113155
地址:山东省枣庄市市中区水处理剂产业园(十里泉东路1号)
E-mail:th@thwater.com
http://www.1227shajunji.com
产品展示
您目前的位置:网站首页 >> 聚羧酸类阻垢分散剂、水性分散剂
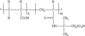
丙烯酸-2-丙烯酰胺-2-甲基丙磺酸共聚物 AA/AMPS
Acrylic Acid-2-Acrylamido-2-Methylpropane Sulfonic Acid Copolymer (AA/AMPS)
- CAS No. 40623-75-4
- 结构式

- 一、性能与用途:
- AA/AMPS为丙烯酸与2-丙烯酰胺-2-甲基丙磺酸(AMPS)共聚而成。由于分子结构中含有阻垢分散性能好的羧酸基和强极性的磺酸基,能提高钙容忍度,对水中的磷酸钙、碳酸钙、锌垢等有显著的阻垢作用,防止氧化铁的沉积,尤其对磷酸钙阻垢率高。并且分散性能优良。与有机膦复配,增效作用明显。特别适合高pH、高碱度、高硬度的水质,是实现高浓缩倍数运行的最理想的阻垢分散剂之一。 本产品还可用作纺织印染助剂;造纸系统纸浆的阻垢剂。
- 二、技术指标 符合 HG/T3642-2016
项 目 指 标 HG/T 3642-2016 -- 外 观 无色至黄色粘稠液体 无色至淡黄色粘稠液体 固体含量/% ≥30.0 ≥40.0 pH值(1%水溶液) ≤2.5 3.5~4.5 密度(20℃)/g·cm-3 ≥1.05 ≥1.15 游离单体(以AA计)/% ≤0.2 ≤0.50 极限粘数(30℃)/dl·g-1 0.055~0.100 -- - 三、使用方法
- AA/AMPS可与有机膦酸盐、锌盐复合使用,适于pH条件为7.0~9.5。
- 四、包装与贮存
- 本产品为塑料桶包装,每桶25kg、200 kg或250 kg,也可根据用户要求确定。AA/AMPS贮存期为十二个月。
- 五、安全防护
- AA/AMPS为酸性,操作时注意劳动保护,应避免与皮肤、眼睛等接触,接触后用大量清水冲洗。
